Grundig GHP-MM08
Souhrn tématu
Uživatelé diskutují o tepelném čerpadle Grundig GHP-MM08, zejména o problémech s tlakem chladiva a zaneseným výparníkem. Sdílejí zkušenosti s chybou P02 a nastavením odmrazování. Někteří zvažují opravu nebo náhradní díly, jiní porovnávají s alternativami jako dřevo či solární energie.
-
ElektroEzs
- Příspěvky: 2875
- Registrován: stř zář 21, 2022 10:03 am
- Reputace: 100
- Lokalita: okolí Teplic
- Systémové napětí: 48V
- Výkon panelů [Wp]: 8340
- Kapacita baterie [kWh]: 14,4
- Chci prodávat energii: NE
- Chci/Mám dotaci: NE
Grundig GHP-MM08
Ahoj koupil jsem tepelko z facebooku co ma udajne vodu v chladivu. Koupil jsem to hlavne abych mel nahradni invertorovou desku na to sve druhou desku a par dilu co bych mel dvakrat pak hodim sem na bazar. Ale nedalo mi to tak jsem zkousel zmacknout ventilek chladiva a porad tam je nejaky tlak chladiva je takze se mi nezda ze by bylo neco praskleho. Ale ten tlak po zmacknuti mi prijde nizkej. Nevi nekdo kolik by tam melo byt? Jinak je tam brutalne ucpany vyparnik bordelem takze to nemohlo ani nic odebirat ze vzduchu. Takze nez to zacnu pitvat zkusil bych ho jeste nahodit
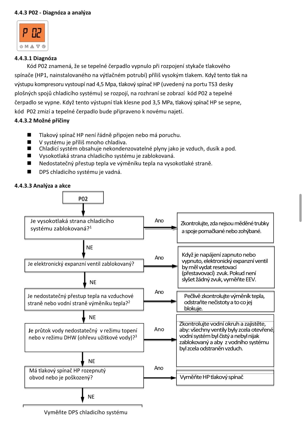
Udajne hlasi chybu P02. Napada nekoho na co se zamerit. Diky za tipy
1: JZ 5460 Wp Ja Solar, JV 960 Wp Leapton, SV 1920 Wp Leapton, MPPT 250/100, MPPT 150/35, MPPT 150/45, 2x parallel Multiplus 2 5000VA, Cerbo GX + touch LCD, 2x 16 x EVE 332Ah LiFePO4 + JK BMS 200A + SmartShunt 500A
2: JZ 3600 Wp Canadian Solar, V 1800 Wp Canadian Solar, MPPT 150/70, MPPT 150/35, Multiplus 2 5000VA, Cerbo GX + touch LCD, 16 x EVE 280Ah LiFePO4 + JK BMS 200A + BMV700
2: JZ 3600 Wp Canadian Solar, V 1800 Wp Canadian Solar, MPPT 150/70, MPPT 150/35, Multiplus 2 5000VA, Cerbo GX + touch LCD, 16 x EVE 280Ah LiFePO4 + JK BMS 200A + BMV700
-
Franta2776
- Příspěvky: 5548
- Registrován: pon úno 01, 2021 4:00 pm
- Reputace: 546
Re: Grundig GHP-MM08
Tam je R32..Chtĕlo by to odvakuovat, tim zjistíš tĕsnost a potom připadnĕ znovu napustit chladivo.
32540Wp, 90ks vakuové trubice jihozápad, (Lifepo4 17S 520Ah, trakční gel 800Ah), Axpert Max 7200VA, Easun Isolar 5500VA,Multiplus 2 48/5000,MPPT 150/85, 150/100
Pojízdná FV 200Wp=2x100Wp flexibilní+4x280Ah lifepo4+měnič 1500W
Pojízdná FV 200Wp=2x100Wp flexibilní+4x280Ah lifepo4+měnič 1500W
-
Franta2776
- Příspěvky: 5548
- Registrován: pon úno 01, 2021 4:00 pm
- Reputace: 546
Re: Grundig GHP-MM08
Nejlépe dovézt chlaďaři, ať toto udĕlá a potvrdí ortel.
32540Wp, 90ks vakuové trubice jihozápad, (Lifepo4 17S 520Ah, trakční gel 800Ah), Axpert Max 7200VA, Easun Isolar 5500VA,Multiplus 2 48/5000,MPPT 150/85, 150/100
Pojízdná FV 200Wp=2x100Wp flexibilní+4x280Ah lifepo4+měnič 1500W
Pojízdná FV 200Wp=2x100Wp flexibilní+4x280Ah lifepo4+měnič 1500W
-
ElektroEzs
- Příspěvky: 2875
- Registrován: stř zář 21, 2022 10:03 am
- Reputace: 100
- Lokalita: okolí Teplic
- Systémové napětí: 48V
- Výkon panelů [Wp]: 8340
- Kapacita baterie [kWh]: 14,4
- Chci prodávat energii: NE
- Chci/Mám dotaci: NE
Re: Grundig GHP-MM08
Zkusim to zmerit kolik tam je a vakuum muzu taky udelat. Vozit to nikam nebudu protoze jak uvidi cinu tak uz vidim ty obliceje a nebo nesmyslnou cenu
Kazdopadne to vypada ze voda tam neni takze bych si nechal i kompresor.
1: JZ 5460 Wp Ja Solar, JV 960 Wp Leapton, SV 1920 Wp Leapton, MPPT 250/100, MPPT 150/35, MPPT 150/45, 2x parallel Multiplus 2 5000VA, Cerbo GX + touch LCD, 2x 16 x EVE 332Ah LiFePO4 + JK BMS 200A + SmartShunt 500A
2: JZ 3600 Wp Canadian Solar, V 1800 Wp Canadian Solar, MPPT 150/70, MPPT 150/35, Multiplus 2 5000VA, Cerbo GX + touch LCD, 16 x EVE 280Ah LiFePO4 + JK BMS 200A + BMV700
2: JZ 3600 Wp Canadian Solar, V 1800 Wp Canadian Solar, MPPT 150/70, MPPT 150/35, Multiplus 2 5000VA, Cerbo GX + touch LCD, 16 x EVE 280Ah LiFePO4 + JK BMS 200A + BMV700
-
ElektroEzs
- Příspěvky: 2875
- Registrován: stř zář 21, 2022 10:03 am
- Reputace: 100
- Lokalita: okolí Teplic
- Systémové napětí: 48V
- Výkon panelů [Wp]: 8340
- Kapacita baterie [kWh]: 14,4
- Chci prodávat energii: NE
- Chci/Mám dotaci: NE
Re: Grundig GHP-MM08
Me trosku prave zmatlo ze tam je 2,6MPaFranta2776 píše: sob lis 15, 2025 8:08 pmTam je R32..Chtĕlo by to odvakuovat, tim zjistíš tĕsnost a potom připadnĕ znovu napustit chladivo.
Screenshot_20251115_200713_Chrome.jpg
1: JZ 5460 Wp Ja Solar, JV 960 Wp Leapton, SV 1920 Wp Leapton, MPPT 250/100, MPPT 150/35, MPPT 150/45, 2x parallel Multiplus 2 5000VA, Cerbo GX + touch LCD, 2x 16 x EVE 332Ah LiFePO4 + JK BMS 200A + SmartShunt 500A
2: JZ 3600 Wp Canadian Solar, V 1800 Wp Canadian Solar, MPPT 150/70, MPPT 150/35, Multiplus 2 5000VA, Cerbo GX + touch LCD, 16 x EVE 280Ah LiFePO4 + JK BMS 200A + BMV700
2: JZ 3600 Wp Canadian Solar, V 1800 Wp Canadian Solar, MPPT 150/70, MPPT 150/35, Multiplus 2 5000VA, Cerbo GX + touch LCD, 16 x EVE 280Ah LiFePO4 + JK BMS 200A + BMV700
-
soami
- Příspěvky: 1059
- Registrován: pon lis 08, 2021 9:10 pm
- Reputace: 108
- Lokalita: Posázaví
- Systémové napětí: 48V
- Chci prodávat energii: NE
- Chci/Mám dotaci: NE
- Bydliště: Posázaví
Re: Grundig GHP-MM08
Tlak chladiva odpovídá okolní teplotě. Najdi si tabulku pro R32 - temp/pressure. Nebo aplikace Ref Tools od Danfossu. V příloze můj průběh R32 - zkreslený tak o +0,5 baru, jelikož chladivo je částečně ohříváno přes trubky v baráku - tzn. nemá venkovní teplotu.ElektroEzs píše: sob lis 15, 2025 7:55 pmAhoj koupil jsem tepelko z facebooku co ma udajne vodu v chladivu. Koupil jsem to hlavne abych mel nahradni invertorovou desku na to sve druhou desku a par dilu co bych mel dvakrat pak hodim sem na bazar. Ale nedalo mi to tak jsem zkousel zmacknout ventilek chladiva a porad tam je nejaky tlak chladiva je takze se mi nezda ze by bylo neco praskleho. Ale ten tlak po zmacknuti mi prijde nizkej. Nevi nekdo kolik by tam melo byt? Jinak je tam brutalne ucpany vyparnik bordelem takze to nemohlo ani nic odebirat ze vzduchu. Takze nez to zacnu pitvat zkusil bych ho jeste nahoditUdajne hlasi chybu P02. Napada nekoho na co se zamerit. Diky za tipy
-
josse
- Příspěvky: 1348
- Registrován: úte úno 14, 2017 9:35 pm
- Reputace: 160
Re: Grundig GHP-MM08
Chladivo se plní na počet gramů, na štítku sem někdo dával 1300g, chlaďař ho umí odsát, zvážit, vrátit a případně doplnit. Touhle dobou ve vypnutém by mělo být někde mezi 5-10 bar.
3,6kWp GWL Poly + 8,82kWp Canadian Mono, 3x PIP4048MS, 5x80P14S = 5600Cells 18650 (~900Ah/47kWh)
Elektrárna: https://emoncms.trenet.org/dashboard/view?id=3
TČ: https://emoncms.trenet.org/dashboard/view?id=21
Elektrárna: https://emoncms.trenet.org/dashboard/view?id=3
TČ: https://emoncms.trenet.org/dashboard/view?id=21
-
ElektroEzs
- Příspěvky: 2875
- Registrován: stř zář 21, 2022 10:03 am
- Reputace: 100
- Lokalita: okolí Teplic
- Systémové napětí: 48V
- Výkon panelů [Wp]: 8340
- Kapacita baterie [kWh]: 14,4
- Chci prodávat energii: NE
- Chci/Mám dotaci: NE
Re: Grundig GHP-MM08
Ano je tam 1300g. Zkusim ho pripojit na topeni a zapnout uvidim co to bude delat.
1: JZ 5460 Wp Ja Solar, JV 960 Wp Leapton, SV 1920 Wp Leapton, MPPT 250/100, MPPT 150/35, MPPT 150/45, 2x parallel Multiplus 2 5000VA, Cerbo GX + touch LCD, 2x 16 x EVE 332Ah LiFePO4 + JK BMS 200A + SmartShunt 500A
2: JZ 3600 Wp Canadian Solar, V 1800 Wp Canadian Solar, MPPT 150/70, MPPT 150/35, Multiplus 2 5000VA, Cerbo GX + touch LCD, 16 x EVE 280Ah LiFePO4 + JK BMS 200A + BMV700
2: JZ 3600 Wp Canadian Solar, V 1800 Wp Canadian Solar, MPPT 150/70, MPPT 150/35, Multiplus 2 5000VA, Cerbo GX + touch LCD, 16 x EVE 280Ah LiFePO4 + JK BMS 200A + BMV700
-
Franta2776
- Příspěvky: 5548
- Registrován: pon úno 01, 2021 4:00 pm
- Reputace: 546
Re: Grundig GHP-MM08
Myslím, že jsem na FB četl, že stejnou chybu to hlásí, když je špatný presostat od tlaku vody.
32540Wp, 90ks vakuové trubice jihozápad, (Lifepo4 17S 520Ah, trakční gel 800Ah), Axpert Max 7200VA, Easun Isolar 5500VA,Multiplus 2 48/5000,MPPT 150/85, 150/100
Pojízdná FV 200Wp=2x100Wp flexibilní+4x280Ah lifepo4+měnič 1500W
Pojízdná FV 200Wp=2x100Wp flexibilní+4x280Ah lifepo4+měnič 1500W
-
ElektroEzs
- Příspěvky: 2875
- Registrován: stř zář 21, 2022 10:03 am
- Reputace: 100
- Lokalita: okolí Teplic
- Systémové napětí: 48V
- Výkon panelů [Wp]: 8340
- Kapacita baterie [kWh]: 14,4
- Chci prodávat energii: NE
- Chci/Mám dotaci: NE
Re: Grundig GHP-MM08
Ten uz nekdo na FB menil jestli je tim mysleny ten snimac tlaku vody tak ho muzu objednat na aliku otazka 7USD. Puvodne jsem cekal ze zmacknu ventilek chladiva a pujde z toho voda a nebude co resit
Ale jak tam je chladivo zajima me kde je zakopany pes uz jen proto ze stejne tepelko mam
1: JZ 5460 Wp Ja Solar, JV 960 Wp Leapton, SV 1920 Wp Leapton, MPPT 250/100, MPPT 150/35, MPPT 150/45, 2x parallel Multiplus 2 5000VA, Cerbo GX + touch LCD, 2x 16 x EVE 332Ah LiFePO4 + JK BMS 200A + SmartShunt 500A
2: JZ 3600 Wp Canadian Solar, V 1800 Wp Canadian Solar, MPPT 150/70, MPPT 150/35, Multiplus 2 5000VA, Cerbo GX + touch LCD, 16 x EVE 280Ah LiFePO4 + JK BMS 200A + BMV700
2: JZ 3600 Wp Canadian Solar, V 1800 Wp Canadian Solar, MPPT 150/70, MPPT 150/35, Multiplus 2 5000VA, Cerbo GX + touch LCD, 16 x EVE 280Ah LiFePO4 + JK BMS 200A + BMV700
-
ElektroEzs
- Příspěvky: 2875
- Registrován: stř zář 21, 2022 10:03 am
- Reputace: 100
- Lokalita: okolí Teplic
- Systémové napětí: 48V
- Výkon panelů [Wp]: 8340
- Kapacita baterie [kWh]: 14,4
- Chci prodávat energii: NE
- Chci/Mám dotaci: NE
Re: Grundig GHP-MM08
Tady je snimac tlaku a stav vyparniku jak je ucpany
1: JZ 5460 Wp Ja Solar, JV 960 Wp Leapton, SV 1920 Wp Leapton, MPPT 250/100, MPPT 150/35, MPPT 150/45, 2x parallel Multiplus 2 5000VA, Cerbo GX + touch LCD, 2x 16 x EVE 332Ah LiFePO4 + JK BMS 200A + SmartShunt 500A
2: JZ 3600 Wp Canadian Solar, V 1800 Wp Canadian Solar, MPPT 150/70, MPPT 150/35, Multiplus 2 5000VA, Cerbo GX + touch LCD, 16 x EVE 280Ah LiFePO4 + JK BMS 200A + BMV700
2: JZ 3600 Wp Canadian Solar, V 1800 Wp Canadian Solar, MPPT 150/70, MPPT 150/35, Multiplus 2 5000VA, Cerbo GX + touch LCD, 16 x EVE 280Ah LiFePO4 + JK BMS 200A + BMV700
-
Franta2776
- Příspěvky: 5548
- Registrován: pon úno 01, 2021 4:00 pm
- Reputace: 546
Re: Grundig GHP-MM08
To nemůže fungovat a předchozí majitel byl pako.Možná to chce jenom vapku
32540Wp, 90ks vakuové trubice jihozápad, (Lifepo4 17S 520Ah, trakční gel 800Ah), Axpert Max 7200VA, Easun Isolar 5500VA,Multiplus 2 48/5000,MPPT 150/85, 150/100
Pojízdná FV 200Wp=2x100Wp flexibilní+4x280Ah lifepo4+měnič 1500W
Pojízdná FV 200Wp=2x100Wp flexibilní+4x280Ah lifepo4+měnič 1500W
-
ElektroEzs
- Příspěvky: 2875
- Registrován: stř zář 21, 2022 10:03 am
- Reputace: 100
- Lokalita: okolí Teplic
- Systémové napětí: 48V
- Výkon panelů [Wp]: 8340
- Kapacita baterie [kWh]: 14,4
- Chci prodávat energii: NE
- Chci/Mám dotaci: NE
Re: Grundig GHP-MM08
Spis ze na tom byl servis a nezkusil to vycistit to nejak nechapu
udajne zkouseli zmacknout ten ventilek na vypousteni vody a sla z toho voda i chladivo takze tezko rict co to bylo za servisaka. Nevim jak zjistil ze tam je chladivo to by pri tom tlaku muselo vylitat ven pojistovakem na vodu
Naposledy upravil(a) ElektroEzs dne ned lis 16, 2025 11:06 am, celkem upraveno 1 x.
1: JZ 5460 Wp Ja Solar, JV 960 Wp Leapton, SV 1920 Wp Leapton, MPPT 250/100, MPPT 150/35, MPPT 150/45, 2x parallel Multiplus 2 5000VA, Cerbo GX + touch LCD, 2x 16 x EVE 332Ah LiFePO4 + JK BMS 200A + SmartShunt 500A
2: JZ 3600 Wp Canadian Solar, V 1800 Wp Canadian Solar, MPPT 150/70, MPPT 150/35, Multiplus 2 5000VA, Cerbo GX + touch LCD, 16 x EVE 280Ah LiFePO4 + JK BMS 200A + BMV700
2: JZ 3600 Wp Canadian Solar, V 1800 Wp Canadian Solar, MPPT 150/70, MPPT 150/35, Multiplus 2 5000VA, Cerbo GX + touch LCD, 16 x EVE 280Ah LiFePO4 + JK BMS 200A + BMV700
-
ElektroEzs
- Příspěvky: 2875
- Registrován: stř zář 21, 2022 10:03 am
- Reputace: 100
- Lokalita: okolí Teplic
- Systémové napětí: 48V
- Výkon panelů [Wp]: 8340
- Kapacita baterie [kWh]: 14,4
- Chci prodávat energii: NE
- Chci/Mám dotaci: NE
Re: Grundig GHP-MM08
Vycistim ho a zkusim pripojit na okruh bazenu a nechat bezet
1: JZ 5460 Wp Ja Solar, JV 960 Wp Leapton, SV 1920 Wp Leapton, MPPT 250/100, MPPT 150/35, MPPT 150/45, 2x parallel Multiplus 2 5000VA, Cerbo GX + touch LCD, 2x 16 x EVE 332Ah LiFePO4 + JK BMS 200A + SmartShunt 500A
2: JZ 3600 Wp Canadian Solar, V 1800 Wp Canadian Solar, MPPT 150/70, MPPT 150/35, Multiplus 2 5000VA, Cerbo GX + touch LCD, 16 x EVE 280Ah LiFePO4 + JK BMS 200A + BMV700
2: JZ 3600 Wp Canadian Solar, V 1800 Wp Canadian Solar, MPPT 150/70, MPPT 150/35, Multiplus 2 5000VA, Cerbo GX + touch LCD, 16 x EVE 280Ah LiFePO4 + JK BMS 200A + BMV700
-
Franta2776
- Příspěvky: 5548
- Registrován: pon úno 01, 2021 4:00 pm
- Reputace: 546
Re: Grundig GHP-MM08
Ono to potřebuje nějaký minimální tlak v okruhu vody a to já u bazénu nemám.
32540Wp, 90ks vakuové trubice jihozápad, (Lifepo4 17S 520Ah, trakční gel 800Ah), Axpert Max 7200VA, Easun Isolar 5500VA,Multiplus 2 48/5000,MPPT 150/85, 150/100
Pojízdná FV 200Wp=2x100Wp flexibilní+4x280Ah lifepo4+měnič 1500W
Pojízdná FV 200Wp=2x100Wp flexibilní+4x280Ah lifepo4+měnič 1500W
-
ElektroEzs
- Příspěvky: 2875
- Registrován: stř zář 21, 2022 10:03 am
- Reputace: 100
- Lokalita: okolí Teplic
- Systémové napětí: 48V
- Výkon panelů [Wp]: 8340
- Kapacita baterie [kWh]: 14,4
- Chci prodávat energii: NE
- Chci/Mám dotaci: NE
Re: Grundig GHP-MM08
Ja mam u bazenu bazenove tepelko tam tlaky vody neni ale pak tam mam jeste nerez vymenik napojeny na system topeni doma abych to mohl natapet i termikou,krbem,tepelkem baraku. V tomhle okruhu je nejaky drobny unik tak je to odpojeny takze to zatim pouzivam na testy nez najdu kde se ztraci tlak
1: JZ 5460 Wp Ja Solar, JV 960 Wp Leapton, SV 1920 Wp Leapton, MPPT 250/100, MPPT 150/35, MPPT 150/45, 2x parallel Multiplus 2 5000VA, Cerbo GX + touch LCD, 2x 16 x EVE 332Ah LiFePO4 + JK BMS 200A + SmartShunt 500A
2: JZ 3600 Wp Canadian Solar, V 1800 Wp Canadian Solar, MPPT 150/70, MPPT 150/35, Multiplus 2 5000VA, Cerbo GX + touch LCD, 16 x EVE 280Ah LiFePO4 + JK BMS 200A + BMV700
2: JZ 3600 Wp Canadian Solar, V 1800 Wp Canadian Solar, MPPT 150/70, MPPT 150/35, Multiplus 2 5000VA, Cerbo GX + touch LCD, 16 x EVE 280Ah LiFePO4 + JK BMS 200A + BMV700
-
Pajavk
- Příspěvky: 272
- Registrován: pát bře 15, 2019 2:18 pm
- Reputace: 24
Re: Grundig GHP-MM08
nepotřebuje, v nastavení jde disablovat kontrolu tlaku vodyFranta2776 píše: ned lis 16, 2025 11:08 amOno to potřebuje nějaký minimální tlak v okruhu vody a to já u bazénu nemám.
-
ElektroEzs
- Příspěvky: 2875
- Registrován: stř zář 21, 2022 10:03 am
- Reputace: 100
- Lokalita: okolí Teplic
- Systémové napětí: 48V
- Výkon panelů [Wp]: 8340
- Kapacita baterie [kWh]: 14,4
- Chci prodávat energii: NE
- Chci/Mám dotaci: NE
Re: Grundig GHP-MM08
Rozebral jsem ho cele a EEV ma pres sebe takovou gumu ta je z vrchu mastna a je to mastny i kolem ventilku na plneni tak nevim jestli nekdo nezkousel ventilek zmacknout za chodu. Olej je rozpraseny neni ho moc
1: JZ 5460 Wp Ja Solar, JV 960 Wp Leapton, SV 1920 Wp Leapton, MPPT 250/100, MPPT 150/35, MPPT 150/45, 2x parallel Multiplus 2 5000VA, Cerbo GX + touch LCD, 2x 16 x EVE 332Ah LiFePO4 + JK BMS 200A + SmartShunt 500A
2: JZ 3600 Wp Canadian Solar, V 1800 Wp Canadian Solar, MPPT 150/70, MPPT 150/35, Multiplus 2 5000VA, Cerbo GX + touch LCD, 16 x EVE 280Ah LiFePO4 + JK BMS 200A + BMV700
2: JZ 3600 Wp Canadian Solar, V 1800 Wp Canadian Solar, MPPT 150/70, MPPT 150/35, Multiplus 2 5000VA, Cerbo GX + touch LCD, 16 x EVE 280Ah LiFePO4 + JK BMS 200A + BMV700
-
josse
- Příspěvky: 1348
- Registrován: úte úno 14, 2017 9:35 pm
- Reputace: 160
Re: Grundig GHP-MM08
To je divné, obvykle stopa oleje ukazuje cestu úniku chladiva... Jestli to někdo mačkal až to tolik potřísnil mi přijde divný. Celý to ale vypadá jinak ok. Pokud umíš změřit tlak v systému pomocí elektroniky udělej to a napiš nám tlak v klidu jako první. Hned potom odsát, zvážit. Zajistit si olej a chladivo a obojí doplnit. Pokud to bylo přes ventilek, vyměnit střeva ventilku, novou zátku. Množství oleje odhadni podle toho jak to vypadá poblité, na kompresoru je napsaný typ oleje a jeho množství. S tím olejem si dej pozor ať to nedolévá z otevřené láhve, pouze z nové, neuvěřitelně rychle do sebe táhne vlhkost! Vyndat z oleje už nejde. Když ho (oleje) tam bude trochu víc vůbec to nevadí.
3,6kWp GWL Poly + 8,82kWp Canadian Mono, 3x PIP4048MS, 5x80P14S = 5600Cells 18650 (~900Ah/47kWh)
Elektrárna: https://emoncms.trenet.org/dashboard/view?id=3
TČ: https://emoncms.trenet.org/dashboard/view?id=21
Elektrárna: https://emoncms.trenet.org/dashboard/view?id=3
TČ: https://emoncms.trenet.org/dashboard/view?id=21
-
ElektroEzs
- Příspěvky: 2875
- Registrován: stř zář 21, 2022 10:03 am
- Reputace: 100
- Lokalita: okolí Teplic
- Systémové napětí: 48V
- Výkon panelů [Wp]: 8340
- Kapacita baterie [kWh]: 14,4
- Chci prodávat energii: NE
- Chci/Mám dotaci: NE
Re: Grundig GHP-MM08
Mam doma vakuovacku a budiky na R134A ale nemam jak odsat zbytek chladiva:)Kazdopadne jsem to ted pripojil na vodu tak to zkusim nahodit
1: JZ 5460 Wp Ja Solar, JV 960 Wp Leapton, SV 1920 Wp Leapton, MPPT 250/100, MPPT 150/35, MPPT 150/45, 2x parallel Multiplus 2 5000VA, Cerbo GX + touch LCD, 2x 16 x EVE 332Ah LiFePO4 + JK BMS 200A + SmartShunt 500A
2: JZ 3600 Wp Canadian Solar, V 1800 Wp Canadian Solar, MPPT 150/70, MPPT 150/35, Multiplus 2 5000VA, Cerbo GX + touch LCD, 16 x EVE 280Ah LiFePO4 + JK BMS 200A + BMV700
2: JZ 3600 Wp Canadian Solar, V 1800 Wp Canadian Solar, MPPT 150/70, MPPT 150/35, Multiplus 2 5000VA, Cerbo GX + touch LCD, 16 x EVE 280Ah LiFePO4 + JK BMS 200A + BMV700
Kdo je online
Uživatelé procházející toto fórum: CC [Bot]
