Test meničov DC/AC s kompresormi
- vlkazajac
- R.I.P.
- Příspěvky: 3479
- Registrován: úte čer 11, 2013 10:40 pm
- Reputace: 528
Test meničov DC/AC s kompresormi
Z rozličných dôvodov som si postupne obstaral viac meničov, ktoré som odskúšal na napájanie všetkých možných spotrebičov v domácnosti. Samozrejme, najviac zábavy bolo s kompresorovými chladničkami a mrazničkami. Celkom prirodzene ma napadlo spraviť krížový test tohto hardware, ktorý by mohol poslúžiť niekomu pri realizácii ostrovného systému. V teste sú komponenty podľa jednoduchého výberu - čo dom dal. Pre detaily otvorte prosím prílohu, dozviete sa viac.
750 Wp, LS3024B, 18650 - 198P8S 30,4 V, Multiplus C 800 nonstop / všetky slabé spotrebiče
1950 Wp, 2 x LS3024B, VS2024N, olovo - 330 Ah / 24 V, Carspa 3000 sin deň / silné spotrebiče a ohrev TUV
5995 kWh za meničmi za posledné 2 roky.
1950 Wp, 2 x LS3024B, VS2024N, olovo - 330 Ah / 24 V, Carspa 3000 sin deň / silné spotrebiče a ohrev TUV
5995 kWh za meničmi za posledné 2 roky.
-
- Příspěvky: 7999
- Registrován: sob črc 19, 2014 8:56 pm
- Reputace: 1003
- Lokalita: severně od Brna
- Systémové napětí: 48V
- Výkon panelů [Wp]: 8kWp
- Kapacita baterie [kWh]: 12kWh
- Chci prodávat energii: NE
- Chci/Mám dotaci: NE
Re: Test meničov DC/AC s kompresormi
Takže jestli jsem to pochopil správně, tak mražák whirpool má frekvenční měnič nebo tak něco, a všechno ostatní má větší pokles napětí při rozběhu než historická calex. Zajímavé info potvrzující to co mi tvrdí chlaďař, že kompresory jsou vlastně všechny stejný. Aby bylo měření opakovatelný, mělo by být i uvedeno, jak dlouho byl před spuštěním kompresor v klidu (vyrovnání tlaku v soustavě)
ostrov skoro 8kWp neustále ve stádiu zrodu: smartshunt(ex WBJR), MPPT150/45, MPPT 250/100(ex midnitesolar 150 clasic lite), 16S a různě P cca 340Ah Winston, MP II 5000,( ex Powerjack 8kW, ex samodomo cca 4kW). 48V DC rozvody a spotřebiče.
- vlkazajac
- R.I.P.
- Příspěvky: 3479
- Registrován: úte čer 11, 2013 10:40 pm
- Reputace: 528
Re: Test meničov DC/AC s kompresormi
Z tabuľky možno odčítať dobu kľudu = perióda - beží
750 Wp, LS3024B, 18650 - 198P8S 30,4 V, Multiplus C 800 nonstop / všetky slabé spotrebiče
1950 Wp, 2 x LS3024B, VS2024N, olovo - 330 Ah / 24 V, Carspa 3000 sin deň / silné spotrebiče a ohrev TUV
5995 kWh za meničmi za posledné 2 roky.
1950 Wp, 2 x LS3024B, VS2024N, olovo - 330 Ah / 24 V, Carspa 3000 sin deň / silné spotrebiče a ohrev TUV
5995 kWh za meničmi za posledné 2 roky.
- vlkazajac
- R.I.P.
- Příspěvky: 3479
- Registrován: úte čer 11, 2013 10:40 pm
- Reputace: 528
Re: Test meničov DC/AC s kompresormi
Je pekne, zdá sa, že sa blížia lepšie časy ))
Vystihol som na dnešnom zázname troch "páchateľov" - kompresory, ako sa postupne zapli na meniči 2000W. Možno tam vidieť, aké sú tri lupance rozdielne.
Vystihol som na dnešnom zázname troch "páchateľov" - kompresory, ako sa postupne zapli na meniči 2000W. Možno tam vidieť, aké sú tri lupance rozdielne.
750 Wp, LS3024B, 18650 - 198P8S 30,4 V, Multiplus C 800 nonstop / všetky slabé spotrebiče
1950 Wp, 2 x LS3024B, VS2024N, olovo - 330 Ah / 24 V, Carspa 3000 sin deň / silné spotrebiče a ohrev TUV
5995 kWh za meničmi za posledné 2 roky.
1950 Wp, 2 x LS3024B, VS2024N, olovo - 330 Ah / 24 V, Carspa 3000 sin deň / silné spotrebiče a ohrev TUV
5995 kWh za meničmi za posledné 2 roky.
-
- Příspěvky: 7999
- Registrován: sob črc 19, 2014 8:56 pm
- Reputace: 1003
- Lokalita: severně od Brna
- Systémové napětí: 48V
- Výkon panelů [Wp]: 8kWp
- Kapacita baterie [kWh]: 12kWh
- Chci prodávat energii: NE
- Chci/Mám dotaci: NE
Re: Test meničov DC/AC s kompresormi
to máš jako tolik mražáků? cca 2 prasata a půl krávy v mražáku, nebo 0,5t zeleniny? Já se snažím potraviny uchovávat energeticky neutrálně - sežrat co nejdřív, příp. zavařit, naložit a vyudit.. Na půl prasete potom stačí 60l mražáček v kombiledničce.
Naposledy upravil(a) kodl69 dne čtv led 15, 2015 5:30 pm, celkem upraveno 1 x.
ostrov skoro 8kWp neustále ve stádiu zrodu: smartshunt(ex WBJR), MPPT150/45, MPPT 250/100(ex midnitesolar 150 clasic lite), 16S a různě P cca 340Ah Winston, MP II 5000,( ex Powerjack 8kW, ex samodomo cca 4kW). 48V DC rozvody a spotřebiče.
- vlkazajac
- R.I.P.
- Příspěvky: 3479
- Registrován: úte čer 11, 2013 10:40 pm
- Reputace: 528
Re: Test meničov DC/AC s kompresormi
Pretože chladnička je jednopriestorová, teda bez obvyklej "búdky" vnútri výparníka, je jedna mraznička nevyhnutnosť. Tá stará Calexka je ponechaná doma len z úcty k rokom, nepoužíva sa, len som ju oprášil do toho testu. A s tou najnovšou stredne velkou mám vznešené plány do blízkej budúcnosti, dám vedieť neskôr.
Je pravda, že klobásy hlceme veľmi radi a mraznička čosi uchová aspoň do začiatku leta. Okrem obvyklých hlúpostí máme štandardne zásobu jahôd a hríbov na celý rok a samozrejme ryby, máme na ne zdroj hlavne v lete. Myslím, že je to zmysluplné využitie a ja ako solárnik zbieram dobré body pred gazdinou, keď cca 9 mesiacov zima padá zadarmo ( ehm..... ) z neba. A musím povedať, že gazdiná sa snaží, mám ( ja + 3 ) doma excelentnú kuchyňu.
Mimochodom, mrazničku Whirlpool som dostal s výraznou zľavou, oplatilo sa.
Je pravda, že klobásy hlceme veľmi radi a mraznička čosi uchová aspoň do začiatku leta. Okrem obvyklých hlúpostí máme štandardne zásobu jahôd a hríbov na celý rok a samozrejme ryby, máme na ne zdroj hlavne v lete. Myslím, že je to zmysluplné využitie a ja ako solárnik zbieram dobré body pred gazdinou, keď cca 9 mesiacov zima padá zadarmo ( ehm..... ) z neba. A musím povedať, že gazdiná sa snaží, mám ( ja + 3 ) doma excelentnú kuchyňu.
Mimochodom, mrazničku Whirlpool som dostal s výraznou zľavou, oplatilo sa.
750 Wp, LS3024B, 18650 - 198P8S 30,4 V, Multiplus C 800 nonstop / všetky slabé spotrebiče
1950 Wp, 2 x LS3024B, VS2024N, olovo - 330 Ah / 24 V, Carspa 3000 sin deň / silné spotrebiče a ohrev TUV
5995 kWh za meničmi za posledné 2 roky.
1950 Wp, 2 x LS3024B, VS2024N, olovo - 330 Ah / 24 V, Carspa 3000 sin deň / silné spotrebiče a ohrev TUV
5995 kWh za meničmi za posledné 2 roky.
- vlkazajac
- R.I.P.
- Příspěvky: 3479
- Registrován: úte čer 11, 2013 10:40 pm
- Reputace: 528
Re: Test meničov DC/AC s kompresormi
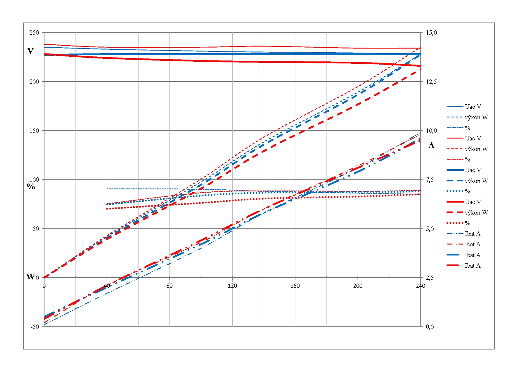
Vždy som sa domnieval, že pre dobrý ostrovný systém sú potrebné dva meniče. Nie je dobre možné splniť súčasne nárok na vysoký výkon systému a nízku spotrebu počas dlhej zimnej noci, alebo počas prevádzkového kľudu domácnosti. Úsporné režimy, ktoré ponúkajú niektoré vyspelé meniče, sa nedajú využiť pri niektorých spotrebičoch, obsahujúcich elektroniku. Môže byť tiež obtiaž nastaviť prahovú hodnotu, na ktorú má menič reagovať.
Využil som všetky meniče, ktoré mám k dispozícii a porovnal som ich vlastnosti ohľadne spotreby v oblasti nízkych výkonov. Voľne tak naväzujem na test meničov s kompresormi z minulosti. V priebehu roka typicky prevádzkujem dve až tri chladiarenské spotrebiče a TV k tomu podľa stavu batérie. Režim meniča je potom daný náhodným spínaním záťaží cca 0 / 35 / 45 / 50 / a 85 ( TV ) W. O tom, ktorý menič je možno kedy použiť, som referoval. Výsledky dnešného merania sú k dispozícii a možno už kombinovať optimálnu zostavu. To už nechám na Vás, môžete sa zamyslieť.
Bolo by ideálne urobiť meranie s reálnymi spotrebičmi. To by trvalo príliš dlho. Preto som zvolil skúšku s výlučne ohmickou záťažou a pripájal som postupne žiarovky 40 / 100 / 100 W vo všetkých možných kombináciach. Napätie batérie bolo stabilizované na 27,1 V a len v prípade Carspy 2000 už za súmraku bol zdroj trochu mäkkší. Ibat meraný bočníkom, príkon vypočítaný, výkon za meničom meraný bežným meradlom spotreby a výkonu. Testované boli :
Victron 350 VA, Victron 800 VA ( v grafe modrou – ako inak ... ), Carspa 600 W, Carspa 2000 W ( v grafe červenou ). Slabšiemu meniču prislúcha vždy tenšia čiara. Vodorovná neoznačená os je záťaž meniča vo W.
Využil som všetky meniče, ktoré mám k dispozícii a porovnal som ich vlastnosti ohľadne spotreby v oblasti nízkych výkonov. Voľne tak naväzujem na test meničov s kompresormi z minulosti. V priebehu roka typicky prevádzkujem dve až tri chladiarenské spotrebiče a TV k tomu podľa stavu batérie. Režim meniča je potom daný náhodným spínaním záťaží cca 0 / 35 / 45 / 50 / a 85 ( TV ) W. O tom, ktorý menič je možno kedy použiť, som referoval. Výsledky dnešného merania sú k dispozícii a možno už kombinovať optimálnu zostavu. To už nechám na Vás, môžete sa zamyslieť.
Bolo by ideálne urobiť meranie s reálnymi spotrebičmi. To by trvalo príliš dlho. Preto som zvolil skúšku s výlučne ohmickou záťažou a pripájal som postupne žiarovky 40 / 100 / 100 W vo všetkých možných kombináciach. Napätie batérie bolo stabilizované na 27,1 V a len v prípade Carspy 2000 už za súmraku bol zdroj trochu mäkkší. Ibat meraný bočníkom, príkon vypočítaný, výkon za meničom meraný bežným meradlom spotreby a výkonu. Testované boli :
Victron 350 VA, Victron 800 VA ( v grafe modrou – ako inak ... ), Carspa 600 W, Carspa 2000 W ( v grafe červenou ). Slabšiemu meniču prislúcha vždy tenšia čiara. Vodorovná neoznačená os je záťaž meniča vo W.
750 Wp, LS3024B, 18650 - 198P8S 30,4 V, Multiplus C 800 nonstop / všetky slabé spotrebiče
1950 Wp, 2 x LS3024B, VS2024N, olovo - 330 Ah / 24 V, Carspa 3000 sin deň / silné spotrebiče a ohrev TUV
5995 kWh za meničmi za posledné 2 roky.
1950 Wp, 2 x LS3024B, VS2024N, olovo - 330 Ah / 24 V, Carspa 3000 sin deň / silné spotrebiče a ohrev TUV
5995 kWh za meničmi za posledné 2 roky.
- rottenkiwi
- Příspěvky: 5451
- Registrován: pát úno 13, 2015 2:24 pm
- Reputace: 287
- Lokalita: SO, SK
- Bydliště: SO, SK
Re: Test meničov DC/AC s kompresormi
Takže na malé výkony, 40 až 120 W je najlepší
Victron 350, Carspa 600 a Victron 800 je na tom porovnateĺne, ale sú vhodné až od 150 W vyššie.
No ale to je pre mňa zlé, lebo Victron 350 mi Whirlpoolku s 1800 VA záberom nerozbehne
a všetko ostatné možem dať na 12 V, takže slabý menič mi netreba a chladničku možem
celý rok nechať na DS.
Victron 350, Carspa 600 a Victron 800 je na tom porovnateĺne, ale sú vhodné až od 150 W vyššie.
No ale to je pre mňa zlé, lebo Victron 350 mi Whirlpoolku s 1800 VA záberom nerozbehne
a všetko ostatné možem dať na 12 V, takže slabý menič mi netreba a chladničku možem
celý rok nechať na DS.
DC-AC inverter REC Lion DC-AC ESP32 DIY inv. 15 GB za sekundu DIY MPPT Holder
Zjedz vsetko, co si kupil, v obchode a netreba ti tasku, auto ci chladnicku.
Zjedz vsetko, co si kupil, v obchode a netreba ti tasku, auto ci chladnicku.
- vlkazajac
- R.I.P.
- Příspěvky: 3479
- Registrován: úte čer 11, 2013 10:40 pm
- Reputace: 528
Re: Test meničov DC/AC s kompresormi
Vyzerá to tak, že možno zovšeobecniť jedno pravidlo - pre kolísavú záťaž voliť čo najmenší menič. Ak to nejde, tak to nejde, známa vec...
Príjemne prekvapila Carspa 600W. Za malý peniaz ( menej ako polovicu oproti ekv. Victronu ) má malú spotrebu naprázdno, dobrú účinnosť a skutočne poslúži veľmi dobre.
Príjemne prekvapila Carspa 600W. Za malý peniaz ( menej ako polovicu oproti ekv. Victronu ) má malú spotrebu naprázdno, dobrú účinnosť a skutočne poslúži veľmi dobre.
750 Wp, LS3024B, 18650 - 198P8S 30,4 V, Multiplus C 800 nonstop / všetky slabé spotrebiče
1950 Wp, 2 x LS3024B, VS2024N, olovo - 330 Ah / 24 V, Carspa 3000 sin deň / silné spotrebiče a ohrev TUV
5995 kWh za meničmi za posledné 2 roky.
1950 Wp, 2 x LS3024B, VS2024N, olovo - 330 Ah / 24 V, Carspa 3000 sin deň / silné spotrebiče a ohrev TUV
5995 kWh za meničmi za posledné 2 roky.
-
- Příspěvky: 169
- Registrován: čtv dub 12, 2018 2:44 pm
- Reputace: 9
- Bydliště: Trencin
Re: Test meničov DC/AC s kompresormi
Nazdar,
Mam momentalne nezapojeny menic Carspa SK3000 ak sa chces hrat, tak ho urcite mozem na par dni ozeliet.
Pripadne aj 12V Victron Phoenix 375VA pure sinus.. nakratko chybat nebude
Mam momentalne nezapojeny menic Carspa SK3000 ak sa chces hrat, tak ho urcite mozem na par dni ozeliet.
Pripadne aj 12V Victron Phoenix 375VA pure sinus.. nakratko chybat nebude

FVE1 - 3kW do 48V 7.2kWh LiFe cez 5kW Axpert, FVE2 domcek pre maleho - 0.26kW do 12V 0.5kWh LiFe cez Victron375, termicky ohrev vody 200 l
- vlkazajac
- R.I.P.
- Příspěvky: 3479
- Registrován: úte čer 11, 2013 10:40 pm
- Reputace: 528
Re: Test meničov DC/AC s kompresormi
Ďakujem za ponuku, rád prijímam ! Ak je Carspa 3000 na 24 V a sinusová, bolo by to fajn, doplniť do testu. Posielam SZ.
750 Wp, LS3024B, 18650 - 198P8S 30,4 V, Multiplus C 800 nonstop / všetky slabé spotrebiče
1950 Wp, 2 x LS3024B, VS2024N, olovo - 330 Ah / 24 V, Carspa 3000 sin deň / silné spotrebiče a ohrev TUV
5995 kWh za meničmi za posledné 2 roky.
1950 Wp, 2 x LS3024B, VS2024N, olovo - 330 Ah / 24 V, Carspa 3000 sin deň / silné spotrebiče a ohrev TUV
5995 kWh za meničmi za posledné 2 roky.
-
- Příspěvky: 235
- Registrován: čtv led 18, 2018 12:11 pm
- Reputace: 3
- Lokalita: Bratislava
Re: Test meničov DC/AC s kompresormi
Ahojte, ozivim tuto temu..mam kempingovu chladnicku s kompresorom, 80W. Aky menic 12/220 by mal stacit? Napr Carspa 600W? A musi byt cisty sinus? dik
30xGS55 (1600W)JV a 30xGS55 (1600W)JZ, 6x320W PERC JZ, Axpert 48V 5kW 800Ah gel. olovo, menič 2500W, MPPT 48V40A 300Ah AGM olovo,BMS Victron BMV700,702
- vlkazajac
- R.I.P.
- Příspěvky: 3479
- Registrován: úte čer 11, 2013 10:40 pm
- Reputace: 528
Re: Test meničov DC/AC s kompresormi
Vždy to treba vyskúšať, pokiaľ máš slabší menič. Ja som mal dosiaľ skúsenosť len s 24 V meničmi podľa výslednej tabuľky v teste. Žiadny 12 V menič a žiadny iný ako " pure sine " som neskúšal.
750 Wp, LS3024B, 18650 - 198P8S 30,4 V, Multiplus C 800 nonstop / všetky slabé spotrebiče
1950 Wp, 2 x LS3024B, VS2024N, olovo - 330 Ah / 24 V, Carspa 3000 sin deň / silné spotrebiče a ohrev TUV
5995 kWh za meničmi za posledné 2 roky.
1950 Wp, 2 x LS3024B, VS2024N, olovo - 330 Ah / 24 V, Carspa 3000 sin deň / silné spotrebiče a ohrev TUV
5995 kWh za meničmi za posledné 2 roky.
-
- Příspěvky: 235
- Registrován: čtv led 18, 2018 12:11 pm
- Reputace: 3
- Lokalita: Bratislava
Re: Test meničov DC/AC s kompresormi
Tak to je horsie, ja si ten menic chcem kupit, len neviem aky..nemam moznost si to niekde vyskusat
30xGS55 (1600W)JV a 30xGS55 (1600W)JZ, 6x320W PERC JZ, Axpert 48V 5kW 800Ah gel. olovo, menič 2500W, MPPT 48V40A 300Ah AGM olovo,BMS Victron BMV700,702
-
- Příspěvky: 4487
- Registrován: úte dub 23, 2013 10:21 am
- Reputace: 808
- Lokalita: Kousek od Lysé nad Labem
- Systémové napětí: 48V
- Výkon panelů [Wp]: 46000
- Kapacita baterie [kWh]: 40
- Chci prodávat energii: NE
- Chci/Mám dotaci: NE
- Bydliště: Kousek od Lysé nad Labem
Re: Test meničov DC/AC s kompresormi
Třeba tento měnič lednici nenastartuje.
_______________________________________________________________________
43 kWp, LiFePO4 62 kWh,
EPSolar 60 A/150 V ET6415N + 3x Isolar SM II (5 kW, 450 V, 80 A) + Axpert PIP 5048MS
43 kWp, LiFePO4 62 kWh,
EPSolar 60 A/150 V ET6415N + 3x Isolar SM II (5 kW, 450 V, 80 A) + Axpert PIP 5048MS
-
- Příspěvky: 2459
- Registrován: ned srp 14, 2011 10:13 pm
- Reputace: 162
- Lokalita: poblíž Hodonína
- Systémové napětí: >48V
- Výkon panelů [Wp]: 7200
- Kapacita baterie [kWh]: 9
Re: Test meničov DC/AC s kompresormi
Tak sinus Victron až od 500VA, slabší nefungují na lednici,svango píše:Nazdar,
Mam momentalne nezapojeny menic Carspa SK3000 ak sa chces hrat, tak ho urcite mozem na par dni ozeliet.
Pripadne aj 12V Victron Phoenix 375VA pure sinus.. nakratko chybat nebude
modifikované měniče mají oproti sinusu větší spotřebu o 40-50% !
5,4 kWp JJZ 4deg,1,8kWp JV 24deg, do 13.8.2022 bylo 3,6 kWp, MPII 5k, Victron MPPT 250/85-TR, aku 9,45 kWh Lion 15S, BMS 200A, Smart Shunt 500A.
k 27.3.2025 13250kWh
k 27.3.2025 13250kWh
-
- Příspěvky: 861
- Registrován: stř bře 20, 2019 4:05 pm
- Reputace: 74
Re: Test meničov DC/AC s kompresormi
Tak tohle podepisuji. Dnes jsem si přivezl Carspu 600W Pure sin, koupenou na základě recenzí "vlkazajace" ohledně provozu ledničky, a nelituju! Měnič má naprázdno odběr 0,2A při 26,77V. Ledničku startuje v pohodě. Na půl vteřiny blikne červená ledka, ale pak už je vše v pořádku. Lednička jede.vlkazajac píše:Vyzerá to tak, že možno zovšeobecniť jedno pravidlo - pre kolísavú záťaž voliť čo najmenší menič. Ak to nejde, tak to nejde, známa vec...
Príjemne prekvapila Carspa 600W. Za malý peniaz ( menej ako polovicu oproti ekv. Victronu ) má malú spotrebu naprázdno, dobrú účinnosť a skutočne poslúži veľmi dobre.

11S (8 REC 295Wp POLY + 3 Canadian Solar 300Wp) Axpert VM II 24V/3000W, 2P Canadian Solar + MPPT Victron Smart Solar 100/20 + Carspa 24/230, 600W Pure sine + 4x Varta 6V/232Ah.
- antoni_sk
- Příspěvky: 676
- Registrován: pát lis 17, 2017 3:14 pm
- Reputace: 80
- Bydliště: Liptov
Re: Test meničov DC/AC s kompresormi
No ja som si predvčerom doviezol domov túto zánovnú krásavicu, má digitálny invertor, najväčší príkon som zaznamenal cca 160W, najmenší asi 45W takže asi by som ju mal tiež otestovať s Carspou

FV-1, 60°, 2019 3x Suntech STP280-20/Wfw (840Wp), EPSOLAR LS3024B (30A)
FV-2, 35°, 2020 3x CSUN 280-60P (840Wp), EPEVER LS3024B (30A),
FV-3, 35°, 7/2020 4x Trinasolar TSM-235 (940Wp), SRNE ML 40A MPPT
FV-4, 35°, 10/2021 2x Moser 220Wp (440Wp), EPEVER LS3024B (30A),
FV-5, 45°, 9/2022 6x Trinasolar 235Wp (1400Wp), Easun ISolar SPS 3kW
Meniče: Carspa 3000W (špičk.9000W), Easun ISolar SPS 3kW
batérie: 16x 200Ah LiFePo4 (24V) + 8x 280Ah LiFePo4 (24V)
FV-2, 35°, 2020 3x CSUN 280-60P (840Wp), EPEVER LS3024B (30A),
FV-3, 35°, 7/2020 4x Trinasolar TSM-235 (940Wp), SRNE ML 40A MPPT
FV-4, 35°, 10/2021 2x Moser 220Wp (440Wp), EPEVER LS3024B (30A),
FV-5, 45°, 9/2022 6x Trinasolar 235Wp (1400Wp), Easun ISolar SPS 3kW
Meniče: Carspa 3000W (špičk.9000W), Easun ISolar SPS 3kW
batérie: 16x 200Ah LiFePo4 (24V) + 8x 280Ah LiFePo4 (24V)
-
- Příspěvky: 861
- Registrován: stř bře 20, 2019 4:05 pm
- Reputace: 74
Re: Test meničov DC/AC s kompresormi
Tak jsem objevil zajímavý fenomén při provozu ledničky s měničem Carspa 600W. Ledničku to rozchodí, ale. Zdá se že až na druhý pokus. Prostě, u měniče se rozjede ventilátor = termostat ledničky sepl. Běží pár sekund, pak se vype. Po nějakých 10 až 20 sekundách se ventilátor rozběhne znova, a na ampérmetru proudu odebíraného z baterie naskočí hodnota kolem 37A. Po asi 40 s vypne. Ne měnič, ale lednička. Měnič je v pohodě, červená ledka ani neblikne. Po uplynutí 2až 3 minut se lednička normálně rozjede, ampérmetr ukazuje kolem 5 A, což je normál. To se opakuje vždy, při každém zapnutí ledničky. Člověk by byl schopen si myslet, že je v ledničce nějaké sofistikované zařízení (třeba topné tělísko na předehřev chladicího média), které se sepne těsně před tím, než se má rozběhnout kompresor. Jenže se to chová tak, jako když někdo běžící ledničku vypne, a pak hned zapne. Do motoru jde téměř zkratový proud, a tepelná ochrana vypne. K opětovnému zapnutí dojde ve chvíli, kdy to tepelná ochrana dovolí. No jo, jenže proč se k sakru poté, co absolvuje tento nesmyslný cyklus rozběhne kompresor bez nejmenšího problému a pak běží jak je dlouho třeba? Kdyby měnič nestíhal, nerozběhl by se kompresor nikdy. No záhada. 

11S (8 REC 295Wp POLY + 3 Canadian Solar 300Wp) Axpert VM II 24V/3000W, 2P Canadian Solar + MPPT Victron Smart Solar 100/20 + Carspa 24/230, 600W Pure sine + 4x Varta 6V/232Ah.
-
- Příspěvky: 2459
- Registrován: ned srp 14, 2011 10:13 pm
- Reputace: 162
- Lokalita: poblíž Hodonína
- Systémové napětí: >48V
- Výkon panelů [Wp]: 7200
- Kapacita baterie [kWh]: 9
Re: Test meničov DC/AC s kompresormi
To není fenomén, to občas udělá lednice i na EON síti, asi často spíná-není to starší lednice-špatná izolace ?, pak při startu se kompresor nerozozběhne, protože je velký přetlak na něj a nedá to, tak ti to udělá to co píšeš, mezitím tlak klesne a na podruhé to dá, v tomto případě to asi nebude běžné a zvyšovala by se se dost spotřeba té lednice. Termostat je v pořádku ? chladí dle návodu pro tu lednici ?chatař píše:Tak jsem objevil zajímavý fenomén při provozu ledničky s měničem Carspa 600W. Ledničku to rozchodí, ale. Zdá se že až na druhý pokus. Prostě, u měniče se rozjede ventilátor = termostat ledničky sepl. Běží pár sekund, pak se vype. Po nějakých 10 až 20 sekundách se ventilátor rozběhne znova, a na ampérmetru proudu odebíraného z baterie naskočí hodnota kolem 37A. Po asi 40 s vypne. Ne měnič, ale lednička. Měnič je v pohodě, červená ledka ani neblikne. Po uplynutí 2až 3 minut se lednička normálně rozjede, ampérmetr ukazuje kolem 5 A, což je normál. To se opakuje vždy, při každém zapnutí ledničky. Člověk by byl schopen si myslet, že je v ledničce nějaké sofistikované zařízení (třeba topné tělísko na předehřev chladicího média), které se sepne těsně před tím, než se má rozběhnout kompresor. Jenže se to chová tak, jako když někdo běžící ledničku vypne, a pak hned zapne. Do motoru jde téměř zkratový proud, a tepelná ochrana vypne. K opětovnému zapnutí dojde ve chvíli, kdy to tepelná ochrana dovolí. No jo, jenže proč se k sakru poté, co absolvuje tento nesmyslný cyklus rozběhne kompresor bez nejmenšího problému a pak běží jak je dlouho třeba? Kdyby měnič nestíhal, nerozběhl by se kompresor nikdy. No záhada.
5,4 kWp JJZ 4deg,1,8kWp JV 24deg, do 13.8.2022 bylo 3,6 kWp, MPII 5k, Victron MPPT 250/85-TR, aku 9,45 kWh Lion 15S, BMS 200A, Smart Shunt 500A.
k 27.3.2025 13250kWh
k 27.3.2025 13250kWh
Kdo je online
Uživatelé prohlížející si toto fórum: Claudebot [Bot], Neticle [Bot], Skrat a 1 host